середа, 4 вересня 2019 р.

Урок №3 Скалярні та векторні величини

 Тема: Скалярні та векторні величини

Мета: Ознайомити учнів з математичним апаратом у курсі фізики, показати зв'язок фізики з математикою. Розвивати логічне та алгоритмічне мислення. Виховувати культуру наукового мислення та впевненість у своїх здібностях та знаннях.

 Перевірити виконання вправи № 2: завдання 1-2.


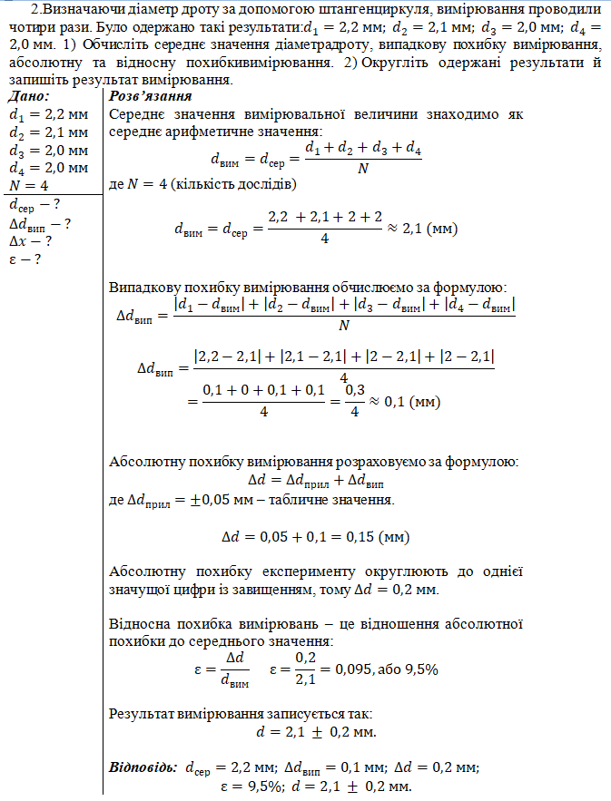
На цьому уроці вам пропонується: прочитати та написати в зошиті конспект §3, переглянути наступні відео, та виконати завдання.


Домашнє завдання

Опрацювати § 3, Вправа № 3 (1 – 4)


понеділок, 2 вересня 2019 р.

Урок №2 Методи наукового пізнання. Фізичні величини та їх вимірювання.

 

Тема: Методи наукового пізнання. Фізичні величини та їх вимірювання. Невизначеності вимірювань

Мета уроку: Дати учням уявлення про методи наукового пізнання; повторити матеріал про вимірювання та фізичні величини; наголосити про необхідність використовування Міжнародної системи одиниць СІ; ознайомити учнів з поняттям «похибка вимірювань». Розвивати логічне та алгоритмічне мислення. Виховувати культуру наукового мислення та впевненість у своїх здібностях та знаннях.

1.Фізичне дослідження та його методи

Спостереження – це сприйняття природи з метою одержання первинних даних для подальшого аналізу.

 Проблемні питання

• Чи завжди спостереження ведуть до правильного висновку?

• Що роблять учені, щоб спростувати або довести власні висновки?

 Фізичне дослідження – це цілеспрямоване вивчення явищ і властивостей природи засобами фізики.

 Методи фізичних досліджень:

1) Експериментальний метод. Експеримент – дослідження фізичного явища в умовах, які перебувають під контролем ученого.

2) Теоретичний метод. Аналіз отриманих у результаті експериментів даних, формулювання законів природи, пояснення певних явищ і властивостей на основі цих законів, передбачення й теоретичне обґрунтування нових явищ і властивостей.

 Проблемні питання

• Які спостереження, теоретичні й експериментальні дослідження ви могли б провести, щоб дослідити світіння звичайної лампи розжарення?

• Кочення скляної кулі – супроводжується механічними, тепловими, електромагнітними, оптичними явищами. Чи слід ураховувати всі ці явища, визначаючи, наприклад, час кочення кулі?

На кочення скляної кулі не впливають заломлення світла в кулі, зміна температури кулі, а також незначна деформація кулі. Тому під час дослідження кочення кулі можна враховувати тільки її масу, форму та розміри (створюють фізичну модель процесу кочення кулі)

 Фізична модель – це уявний ідеалізований об’єкт, що має головні риси реального і дозволяє спростити аналіз явищ.

 2. Вимірювання фізичних величин

Проблемне питання

• Які кількісні характеристики ми використовуємо описуючи рух автомобіля?

(швидкість, прискорення, час руху, сила тяги, потужність)

 Фізична величина – це кількісна міра певної властивості тіла, певного фізичного процесу або явища.

 Проблемні питання

• Як ви вважаєте, наскільки часто люди виконують вимірювання?

• Що означає виміряти фізичну величину?

 Виміряти фізичну величину – значить порівняти її з однорідною величиною, яку приймають за одиницю.

 Види вимірювань:

Прямі – величину порівнюють із її одиницею (метром, секундою, кілограмом, ампером) за допомогою вимірювального приладу.

Непрямі – величину обчислюють за результатами прямих вимірювань інших величин, пов’язаних із вимірюваною величиною певною функціональною залежністю (ρ=m/V)

3. Міжнародна система одиниць СІ

У науці використовують одиниці фізичних величин, визначені Міжнародною системою одиниць СІ.

Основні одиниці СІ

Домашнє завдання

Опрацювати § 2, Вправа № 2 (1 – 2)

вівторок, 27 серпня 2019 р.

Урок №1 Зародження й розвиток фізики як науки.

 

Тема: Зародження й розвиток фізики як науки.

Мета уроку: дати учням уявлення про зародження та розвиток фізики як науки, показати важливість фізичних знань в розвитку сучасного світу. Розвивати логічне мислення та пізнавальні навички учнів. Виховувати почуття патріотизму, бажання вивчати природничі науки. 

Для чого потрібні людству фізика й інші природничі науки?

Учені не завжди про це замислюються – їм просто дуже цікаво розгадувати загадки природи. Але наука вимагає чималих коштів, і ці кошти знаходяться: їх виділяють і держави, і приватні компанії. Навіщо? Відповідь проста: наука приносить величезну користь!

Історія фізики – це історія відкриттів, кожне з яких поглиблює наше розуміння природи. І за будь-яким відкриттям стоїть людина, а частіше група людей, чиї зусилля пробивають стіну невідомості та незнання, підіймають науку на новий щабель розвитку. Саме про таких людей можна сказати: «Вони створювали фізику».

Хто ж ці люди, чиї імена нерозривно пов'язані з прогресом фізичної науки? Сьогодні ми назвемо лише декого, але, продовжуючи вивчення курсу фізики, ви дізнаєтеся про десятки уславлених дослідників природи й першовідкривачів невідомого.

Клавдій Птолемей

 

Миколай Коперник

Ґалілео Ґалілей

 Ісак Ньютон

Альберт Ейнштейн

Пулюй Іван Павлович


Пильчиков Микола Дмитрович


Кондратюк Юрій Васильович

Домашнє завдання

Опрацювати § 1, 

Вправа № 1 (1–5 усно)

пʼятниця, 23 серпня 2019 р.

 Список використаної літератури

1. Фізика (рівень стандарту, за навчальною програмою авторського колективу під керівництвом Локтєва В. М.): підруч. для 10 кл. закл. загал, серед, освіти [В. Г. Бар’яхтар, С. О. Довгий, Ф. Я. Божинова, О. О. Кірюхіна] ; за ред. В. Г. Бар’яхтара, С. О. Довгого. — Харків : Вид-во «Ранок», 2018. 272с. : іл., фот.
2. Сайт "ФІЗИКА НОВА"
 https://www.fizikanova.com.ua
3. https://phet.colorado.edu/uk/simulations/category/physics
4. Youtube канал «Andriy Chiburovskiy»:
https://www.youtube.com/channel/UC0aX62cRfDmNk-W7TaHXeCw/featured
6. Youtube канал «Електронні книги "РАНОК"»:
https://www.youtube.com/channel/UCeFZd8UVIhapGoVVcpN6HDQ
7.  Youtube канал «Цікава наука»: https://www.youtube.com/channel/UCMIVE71tHEUDkuw8tPxtzSQ
8.  Youtube канал «Valery Alimovich»: